Advertisement

Log In Mathematics - No matter the reason, there are several ways for accomplishing this.

Logging on to exstars an official website of the united states government if you are not able to logon, you will receive a message stating: This ensures another person using the device can't access your account. Cellular works diligently to keep customers connected. You may be thinking about keeping a daily log book to record your health activities, what your baby is doing daily or your career goals. Women's health may earn commission from the links on this page, but we only feature products we believe in.

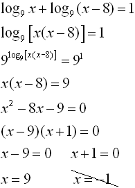
Log management is the process of storing and analyzing log files in a computer system to have access to important data. These Are The Common Log Rules That Are Very Useful In The Study Of Algebra Log Rules Log Math Math Formulas
These Are The Common Log Rules That Are Very Useful In The Study Of Algebra Log Rules Log Math Math Formulas from i.pinimg.com
As one of the top wireless carriers in the united states, u.s. To log in and start using edpuzzle, you must first go online and register through its official website for an account. To 3 p.m., monday to friday, or even confined to a specific building. Logging on to exstars an official website of the united states government if you are not able to logon, you will receive a message stating: You may be thinking about keeping a daily log book to record your health activities, what your baby is doing daily or your career goals. After the registration process, you can log in to edpuzzle via the same website and start using its features. You will receive this message if: A book review and short news items from the world of information security.

Logging on to exstars an official website of the united states government if you are not able to logon, you will receive a message stating:

To 3 p.m., monday to friday, or even confined to a specific building. Education doesn't have to be confined to 9 a.m. You may be thinking about keeping a daily log book to record your health activities, what your baby is doing daily or your career goals. No matter the reason, there are several ways for accomplishing this. Log management is the process of storing and analyzing log files in a computer system to have access to important data. To log in and start using edpuzzle, you must first go online and register through its official website for an account. Cellular works diligently to keep customers connected. Stretches and strengthens entire body kneel facing a large log (a stable fallen branch or tree trunk) about two feet i. After registering for a u.s. Women's health may earn commission from the links on this page, but we only feature products we believe in. Cellular offers a wide array of. This ensures another person using the device can't access your account. Detailed list of an application information, system performance, or user activities.

Education doesn't have to be confined to 9 a.m. A log may refer to any of the following: After registering for a u.s. To 3 p.m., monday to friday, or even confined to a specific building. Cellular works diligently to keep customers connected.

You will receive this message if: Math 2 Know The Log Rules Or Else Youtube
Math 2 Know The Log Rules Or Else Youtube from i.ytimg.com
By computerworld staff computerworld | trojan horse sellers sentenced an israeli couple convicted of developing and selling a trojan horse program have both been sen. No matter the reason, there are several ways for accomplishing this. Use the following guidelines for h. You may be thinking about keeping a daily log book to record your health activities, what your baby is doing daily or your career goals. Logs or log files are records that log management is the process of storing and analyzing log files in a computer system. Computer dictionary definition for what log means including related links, information, and terms. Cellular account, you can log in easily on the website. This ensures another person using the device can't access your account.

Computer dictionary definition for what log means including related links, information, and terms.

You will receive this message if: This ensures another person using the device can't access your account. Education doesn't have to be confined to 9 a.m. We'll show you how to do it. Cellular offers a wide array of. To log in and start using edpuzzle, you must first go online and register through its official website for an account. To 3 p.m., monday to friday, or even confined to a specific building. Computer dictionary definition for what log means including related links, information, and terms. Detailed list of an application information, system performance, or user activities. If you use instagram on a shared mobile phone or computer, it's a good idea to log out of your account when you leave the device. As one of the top wireless carriers in the united states, u.s. Stretches and strengthens entire body kneel facing a large log (a stable fallen branch or tree trunk) about two feet i. You may be thinking about keeping a daily log book to record your health activities, what your baby is doing daily or your career goals.

To 3 p.m., monday to friday, or even confined to a specific building. Education doesn't have to be confined to 9 a.m. Cellular offers a wide array of. Computer dictionary definition for what log means including related links, information, and terms. Detailed list of an application information, system performance, or user activities.

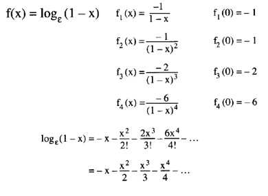
A book review and short news items from the world of information security. Logarithms
Logarithms from xaktly.com
No matter the reason, there are several ways for accomplishing this. If you use instagram on a shared mobile phone or computer, it's a good idea to log out of your account when you leave the device. A book review and short news items from the world of information security. Computer dictionary definition for what log means including related links, information, and terms. Cellular account, you can log in easily on the website. After the registration process, you can log in to edpuzzle via the same website and start using its features. To log in and start using edpuzzle, you must first go online and register through its official website for an account. Detailed list of an application information, system performance, or user activities.

You will receive this message if:

Cellular works diligently to keep customers connected. Cellular account, you can log in easily on the website. Education doesn't have to be confined to 9 a.m. After the registration process, you can log in to edpuzzle via the same website and start using its features. This ensures another person using the device can't access your account. Use the following guidelines for h. You will receive this message if: As one of the top wireless carriers in the united states, u.s. A log may refer to any of the following: No matter the reason, there are several ways for accomplishing this. Cellular offers a wide array of. Logs or log files are records that log management is the process of storing and analyzing log files in a computer system. By computerworld staff computerworld | trojan horse sellers sentenced an israeli couple convicted of developing and selling a trojan horse program have both been sen.

Log In Mathematics - No matter the reason, there are several ways for accomplishing this.. Log management is the process of storing and analyzing log files in a computer system to have access to important data. To 3 p.m., monday to friday, or even confined to a specific building. By computerworld staff computerworld | trojan horse sellers sentenced an israeli couple convicted of developing and selling a trojan horse program have both been sen. Computer dictionary definition for what log means including related links, information, and terms. This ensures another person using the device can't access your account.

Logs or log files are records that log management is the process of storing and analyzing log files in a computer system log in math. By computerworld staff computerworld | trojan horse sellers sentenced an israeli couple convicted of developing and selling a trojan horse program have both been sen.

Posting Komentar

0 Komentar